欢迎访问沈阳城市建设学院招生办公室!
今天是:
学校主页
首页
招生章程
信息快讯
招生计划
学院介绍
专业介绍
建筑与规划学院
土木工程学院
市政与环境工程学院
信息与控制工程学院
机械工程学院
管理学院
艺术与传媒学院
现代产业技术学院
相关下载
联系我们
您当前所在的位置:
首页
->
报考指南
-> 正文
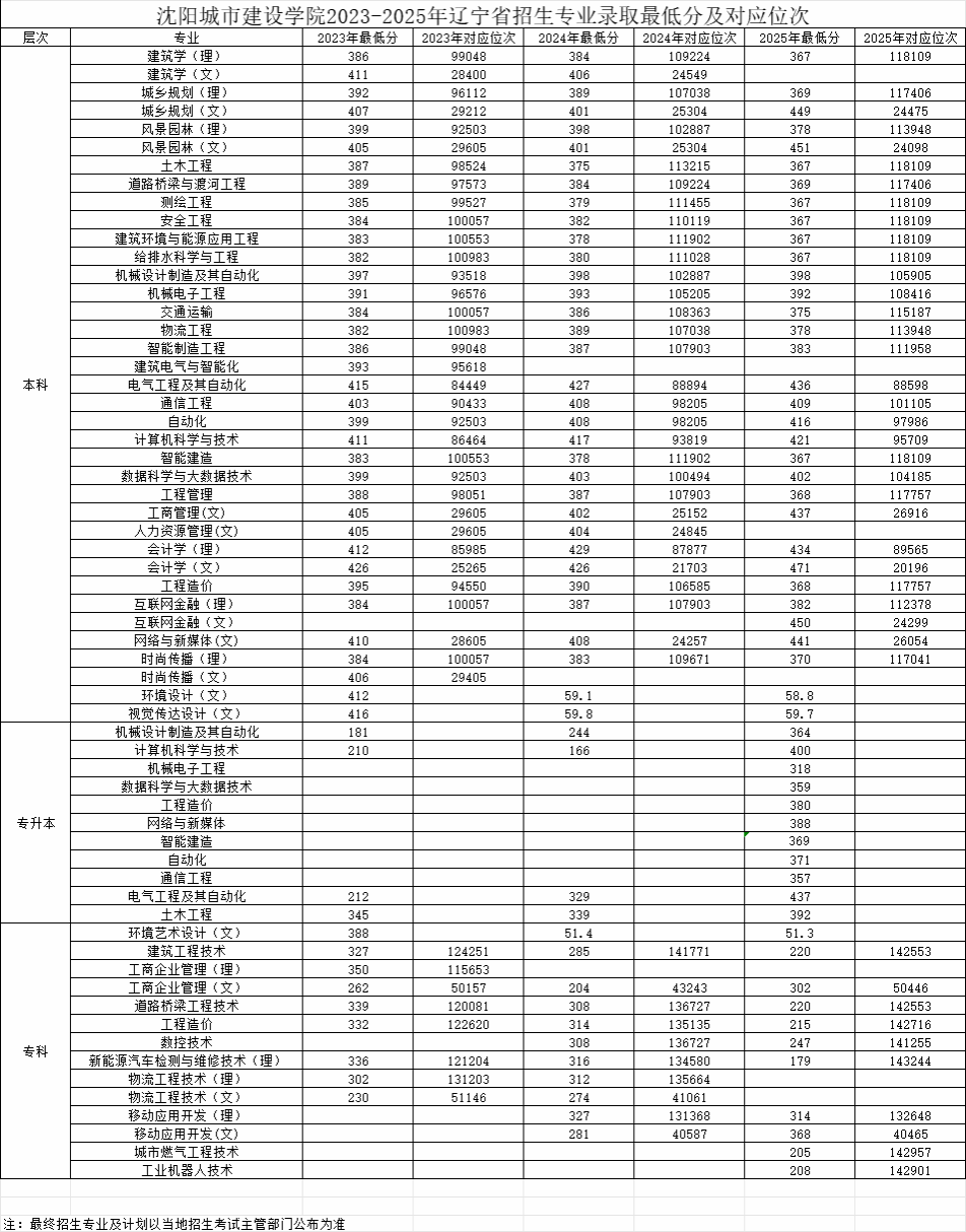
辽宁2023-2025年招生专业录取最低分数线及对应位次
发布日期:2026-01-04 浏览次数:次
常用链接:
录取查询
报考咨询